您当前所在位置: 本站首页 >> 往期期刊 >> 2019年06期 >> 正文

金陵中环超限高层动力弹塑性分析及抗震性能评估

2019年12月25日 18:13 赵福令 吴靖坤 乌兰 李培培 点击:[]

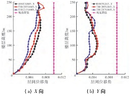
摘要;金陵中环超限高层结构高度为247.3 m,属于超B级高度超限高层建筑,结构体系为钢筋混凝土框架-核心筒.采用Pkpm-Sausage对该超限结构进行罕遇地震下的结构动力弹塑性分析,研究结构在罕遇地震作用下的破坏机理、塑性发展特点.结果表明:结构在进入弹塑性阶段后,结构刚度降低,周期变长,地震反应减小;结构最大层间位移角能够满足1/100的限值要求,连梁出现较大范围损伤,剪力墙塑性损伤较小,结构满足"大震不倒"性能目标.

关键词:框架-核心筒; 罕遇地震; 超限高层; 受力状态; 动力弹塑性分析;

分类号:TU973.31

 

上一条:扣件刚度对重载铁路有砟与无砟轨道过渡段的动力影响分析 下一条:极端气温对钢桁架桥结构受力及变形影响